A Széki-Tó Veszprém megyében Devecsertől 4 km-re, a természet lágy ölén található csodás környezetben. A horgásztó 2021-22-ben Európai Uniós társfinanszírozott pályázat segítségével új családbarát szolgáltatásokat és megannyi infrastruktúra-fejlesztést is végrehajt, hogy az idelátógatók számára még több és még minőségibb szolgáltatásokat - környezetet nyújthasson. Szeretettel várjuk Önöket is a helyszínen, weboldalunkon és csakúgy Facebook és Instagram közösségi oldalainkon is!



A süllő (fogassüllő) általános fajlagos tilalmi ideje március 2. és április 30. között van. Ezen időszak alatt a süllő megtartása tilos, a kifogott halat kíméletesen vissza kell helyezni a tóba.
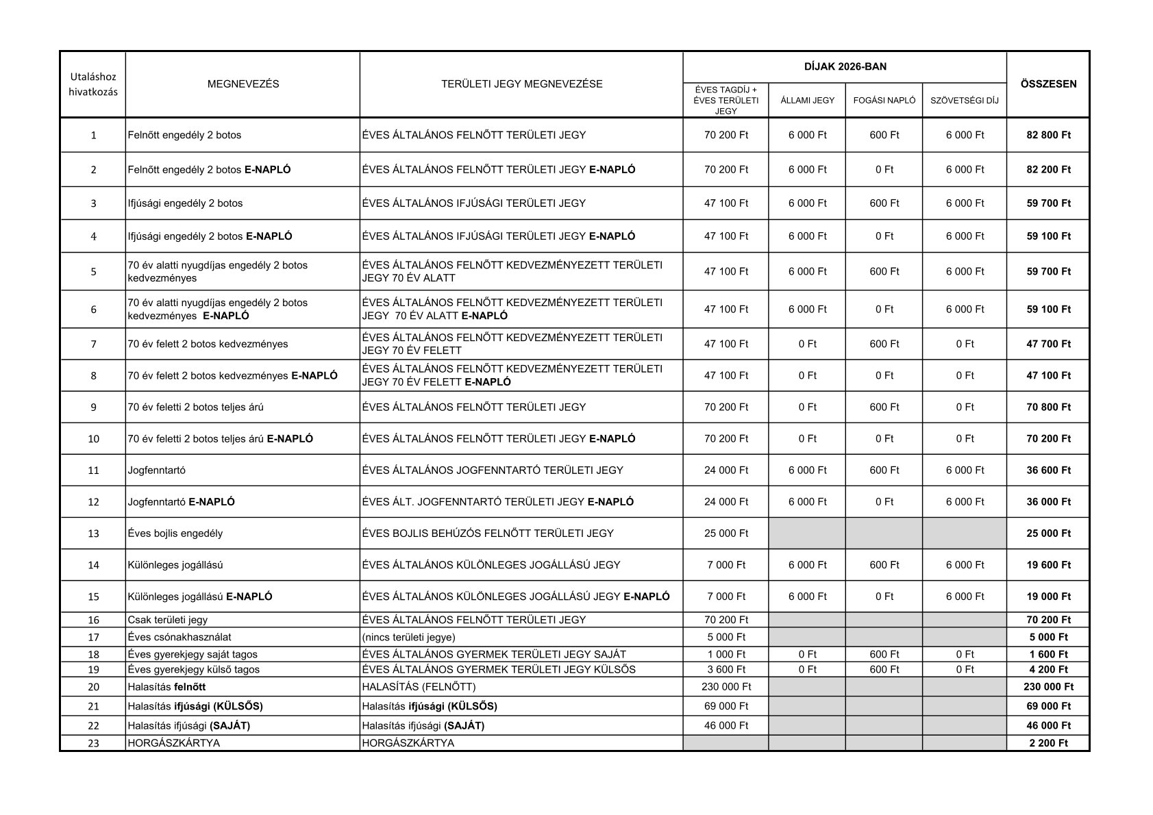
2026.01.20-án megkezdjük az éves területi jegy kiadást.
A 2026-évi egyesületi és napijegy árak elnökségi határozat értelmében nem változnak. Az állami jegy 6000.- a papír alapú fogási napló 600.- a szövetségi díj 6000.- Ft - ba fog kerülni idén is.
Az állami jegy elektronikusan kerül kiállításra, a fogási naplóval egy időben. A fogási napló lehet papír alapú vagy elektronikus. Aki elektronikus fogási naplót választ, annak a saját applikációjában be kell jelölnie és el kell fogadnia a feltételeket! Csak ezután tudjuk kiállítani részére az e-naplót. Ha nem tud belépni a horgász a profiljába, akkor a HORGÁSZJEGY KFT-től tud segítséget kérni az alábbi telefonszámon: 06-1-445-0555. Az irodában erre nem lesz lehetőség. A kiválasztott fogási napló típus egész évben érvényes, nincs lehetőség év közben a változtatására!
Utalás: Kérjük beírni a közleménybe a regisztrációs számot, telefonszámot, illetve a tagdíj táblázat (2. számú melléklet) első oszlopában lévő utaláshoz hivatkozás 1-23-ig számok(at) a megvásárolni kívánt jegy(ek) függvényében, valamint e-napló esetén az EFN, papír alapú fogási napló esetén: PFN kódot!
A területi jegy megnevezését nem kell beírni.
Számlaszám: 11748038-24823348-00000000

.jpg)
.jpg)
Tisztelt Horgásztársak.


Alkalmazkodva az államijegy érvényességi illetve leadási határidejéhez:
.jpg)

.jpg)



Elérhetőség / Bemutatkozó
Az Európai Unió és a Magyar Kormány támogatásával a TOP 1.2.5-15-VE1-2016-00014 azonosítószámú "Családbarát horgászturisztikai desztináció és horgász tanösvény kialakítása a Széki Tónál" társfinanszírozott pályázatból 93,32 millió Ft vissza nem térítendő támogatást kapott a Széki Tó Horgászegyesület.
A projekt keretében a következő fejlesztéseket valósítjuk - valósítottuk meg:
Ajka-Bakonygyepestől 5,2 km-re a 8-as főúton Devecser felé haladva jobbra kell lefordulni, Devecsertől 3,6 km-re Ajka-Bakonygyepes felé haladva balra kell lefordulni. A halőrház a főúttól kb. 1,6 km-re található.
A Széki-tó elhelyezkedése Veszprém megyében
A Széki-tó elhelyezkedése Magyarországon
A vendégekre vonatkozó szabályokról ide kattintva tájékozódhat
2026
01.18
2024
08.06
2023
04.27
2023
04.23
2022
01.31
2022
01.31
2016
11.22
2016
08.03
2016
07.06